Démonstration du théorème de Lax en dimension \(2\) :
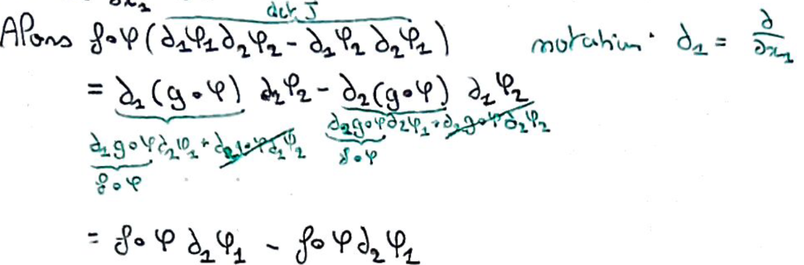
On borne le support de \(f\), et on pose \(g\) une primitive par rapport à sa première variable.

On joue avec la Règle de la chaîne pour simplifier l'expression de \(f\circ \varphi\times\lvert J\rvert\).

L'intégrale est donc en deux parties : l'une qui ne dépend que des valeurs sur le bord et l'autre qui s'annule via le Théorème de Schwarz.

On peut donc remplacer \(\varphi\) et \(J\) par \(\operatorname{Id}\), ce qui nous donne l'égalité recherchée.
